Fisher Score


PASS: Ambiguity Guided Subsets for Scalable Classical and Quantum Constrained Clustering

Add code
Jan 28, 2026
Viaarxiv icon

Beyond Variance: Knowledge-Aware LLM Compression via Fisher-Aligned Subspace Diagnostics

Add code
Jan 12, 2026
Viaarxiv icon

Beyond Perfect Scores: Proof-by-Contradiction for Trustworthy Machine Learning

Add code
Jan 10, 2026
Viaarxiv icon

Focus on What Matters: Fisher-Guided Adaptive Multimodal Fusion for Vulnerability Detection

Add code
Jan 05, 2026
Viaarxiv icon

HATS: High-Accuracy Triple-Set Watermarking for Large Language Models

Add code
Dec 22, 2025
Viaarxiv icon

Weighted Stochastic Differential Equation to Implement Wasserstein-Fisher-Rao Gradient Flow

Add code
Dec 19, 2025
Viaarxiv icon

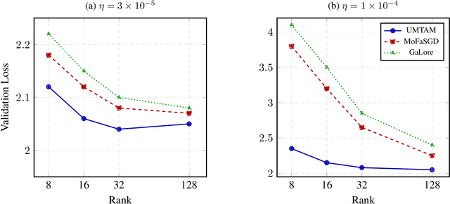
Bridging Training and Merging Through Momentum-Aware Optimization

Add code
Dec 18, 2025
Figure 1 for Bridging Training and Merging Through Momentum-Aware Optimization
Figure 2 for Bridging Training and Merging Through Momentum-Aware Optimization
Figure 3 for Bridging Training and Merging Through Momentum-Aware Optimization
Figure 4 for Bridging Training and Merging Through Momentum-Aware Optimization
Viaarxiv icon

Simulation-Based Fitting of Intractable Models via Sequential Sampling and Local Smoothing

Add code
Nov 11, 2025
Viaarxiv icon

Soft Conflict-Resolution Decision Transformer for Offline Multi-Task Reinforcement Learning

Add code
Nov 17, 2025
Viaarxiv icon

Fisher meets Feynman: score-based variational inference with a product of experts

Add code
Oct 24, 2025
Figure 1 for Fisher meets Feynman: score-based variational inference with a product of experts
Figure 2 for Fisher meets Feynman: score-based variational inference with a product of experts
Figure 3 for Fisher meets Feynman: score-based variational inference with a product of experts
Figure 4 for Fisher meets Feynman: score-based variational inference with a product of experts
Viaarxiv icon